Home - Av解说

Av解说

Molecular Nutrition & Food Research—敬璞教授团队揭示藏红花通过调节神经炎症与神经可塑性改善慢性应激小鼠的抑郁样行为

发布时间:2025-08-29 阅读次数:2368 分享:

近日,Av解说 敬璞教授团队在Molecular Nutrition & Food Research发表文章“Antidepressant-like effect of saffron (Crocus sativus L.) in mice exposed to chronic unpredictable mild stress via attenuating neuroinflammation and recovering neuroplasticity”。

抑郁症是一种以持续的情绪低落、兴趣减退、快感缺失、睡眠障碍、言语和行为迟缓、以及悲观和自杀倾向为主要特征的精神疾病。根据世界卫生组织的调查,全球约有3.5亿人受到不同程度抑郁症的影响,严重降低了人们的生活质量。藏红花(Crocus sativus L.)不仅是一种珍贵的着色剂和香料,更因其多种药理活性被广泛应用于传统医学,特别是在治疗抑郁症方面展现了巨大的潜力。


图1. SE缓解CUMS暴露小鼠的抑郁样行为


图2. SE缓解CUMS暴露小鼠的海马体损伤

通过为期8周的慢性不可预测性应激(CUMS)模型,小鼠表现出典型的抑郁样行为,包括糖水偏好降低、强迫游泳实验和悬尾实验中的不动时间减少,以及自发活动能力下降。藏红花干预显著改善了上述抑郁样行为,并减轻了海马体的病理损伤(图1、2)。


图3. SE抑制小胶质细胞的激活,缓解神经炎症


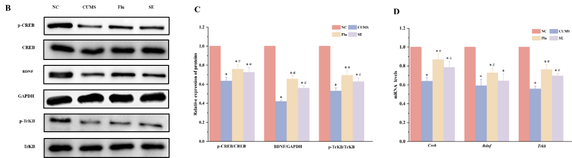
图4. SE改善神经发生和神经可塑性

机制研究表明,藏红花提取物能够抑制CUMS诱导的小胶质细胞激活,从而抑制NF-κB信号通路,降低炎症因子水平(图3)。此外,藏红花干预还缓解了神经炎症对神经发生的损害,并通过激活CREB/BDNF/TrkB通路部分恢复了神经可塑性(图4)。

综上所述,本研究表明,藏红花通过调节神经炎症与神经可塑性,可有效缓解慢性应激引起的抑郁样行为,为其作为具有抗抑郁功能的天然着色配料的开发提供了理论依据。


参考链接://doi.org/10.1002/mnfr.202400848

 

顶部 主页